
8月8日
2025年鹤壁市县区事业单位公开招聘联考
面试资格确认有关事项公告发布
详情↓↓↓

根据《2025年鹤壁市县区事业单位公开招聘联考工作公告》规定,现将2025年鹤壁市县区事业单位公开招聘联考面试资格确认有关事项公告如下。
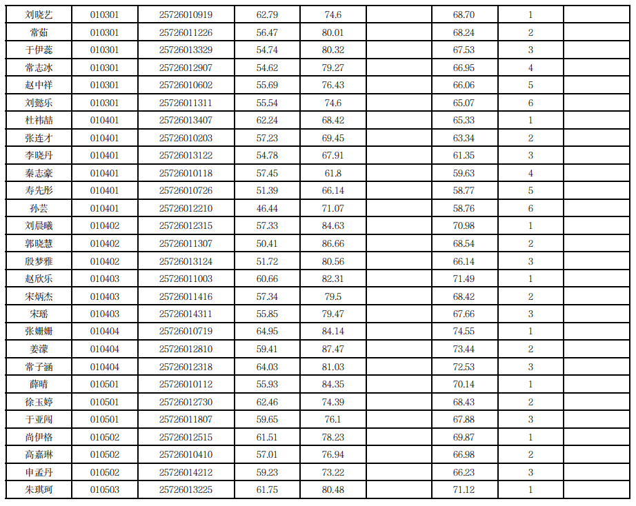
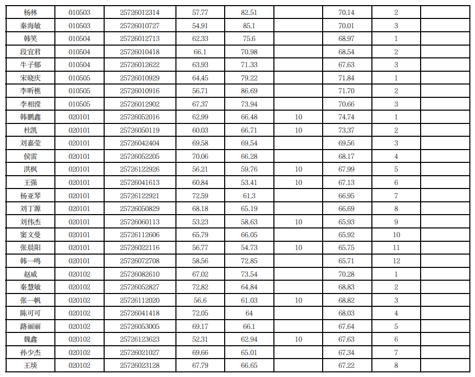
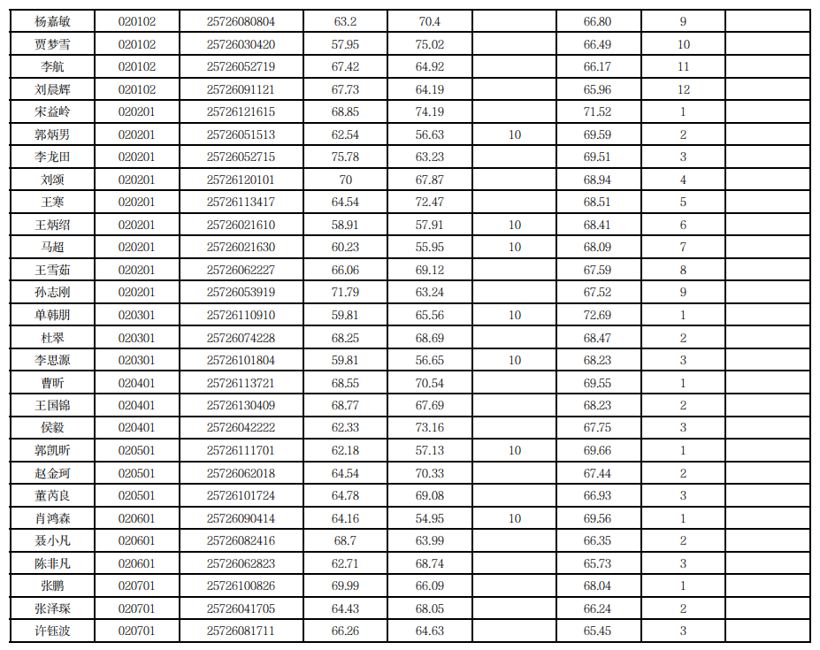
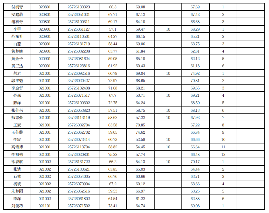
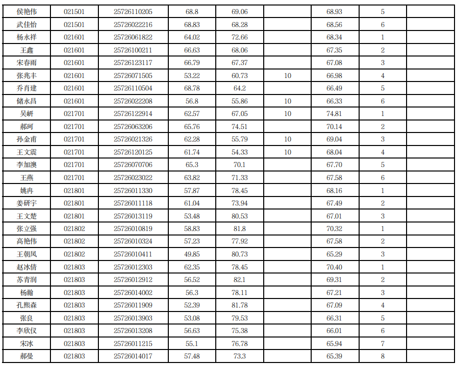
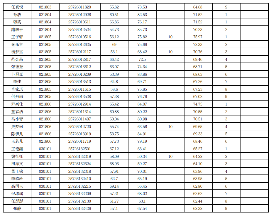
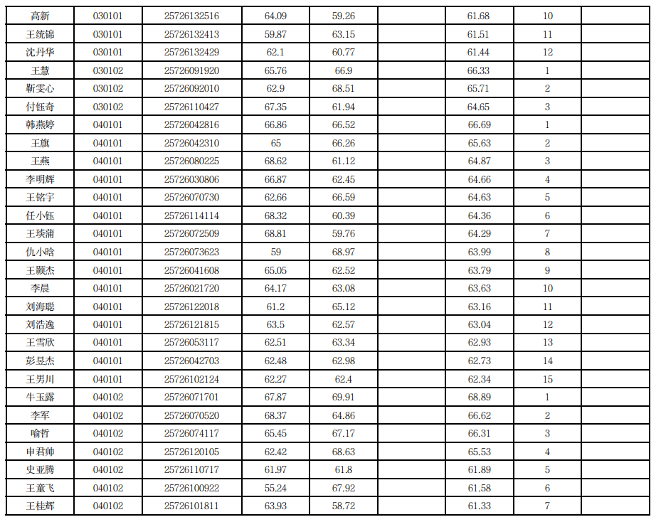
2025年鹤壁市县区事业单位公开招聘联考面试资格确认人员名单(见附件1)。










(一)时间:2025年8月12日(周二)上午8:30—11:30;下午3:00—4:00
(二)地点:考生根据所报考岗位所属县区到下列地点进行确认。
1.淇县招聘岗位:鹤壁市淇县淇水路北段路西488号淇县人力资源和社会保障局一楼101室
2.山城区招聘岗位:鹤壁市山城区朝霞街79号山城区实验小学
3.城乡一体化示范区招聘岗位:鹤壁市城乡一体化示范区863科技创新园1号楼313房间示范区组织宣传工作部
4.宝山经济技术开发区招聘岗位:鹤壁市山城区红旗街西段鹤煤技校院内鹤壁宝山经济技术开发区1楼法律服务中心
应试人员进行面试资格确认时,须本人携带以下材料:
1.笔试准考证(原件、复印件)。
2.有效身份证(原件、复印件)。
3.毕业证(原件、复印件);岗位要求学位的还需提供学位证(原件、复印件)。留学回国人员应提交教育部留学服务中心出具的国外学历学位认证书等。
4.《2025年鹤壁市县区事业单位公开招聘联考报名登记表》(一式两份、附件2)。
5.对在职人员(含已辞职但手续未办结人员)还须查验其所在单位具有人事管理权限部门出具的同意报考证明;签订劳动合同的人员都应提供同意报考证明;市直机关事业单位正式在编人员须提供主管部门出具的同意报考证明,县区所属的机关事业单位正式在编人员须提供县区党委组织部或政府人力资源社会保障局出具的同意报考证明(附件3)。
6.已从报名时填写的工作单位离职且现在没有工作单位的,应试人员须提交离职证明(附件4)。
7.岗位要求政治面貌为中共党员(含预备党员)的,须提交所在党组织出具的证明材料(附件5)。
8.岗位要求有工作经历的须提供劳动合同及社保或相关文件等证明材料(原件及复印件)。
9.岗位要求有相关从业资格等其他条件的,还应提供有关证书、证明材料(原件及复印件)。
10. 具备退役大学生士兵身份并享受政策性加分的考生,如现工作单位系机关事业单位,应提供进入机关事业单位时参加考试的相关公告、总成绩公示、拟聘用人员名单公示等材料的网站相关公告的首页截屏打印件。
1.面试资格确认时,考生必须本人到场。逾期不参加面试资格确认的人员,视为自动放弃面试资格。
2.参加面试资格确认人员应对所提供证件材料的完整性和真实性负责,上述证件和有关材料不全或主要信息不实的,将按规定取消面试资格。本次事业单位公开招聘联考工作,资格审查工作贯穿全过程。
3.通过面试资格确认的应试者,确定为参加面试人员,并发放面试通知单。
4.因放弃或取消面试资格出现的空缺,从报考同一岗位的人员中按照笔试成绩从高到低依次递补,并发布面试确认递补公告。面试确认递补只进行一次。此后,在面试、体检、考察、拟聘用人员公示等各环节出现的岗位空缺,均不再递补。
5.未进入面试确认的应试人员,也要保持报名时登记的联系方式畅通。
6.无论是否通过面试资格审查,以上材料复印件及相关证明材料原件均由面试资格审核单位留存,不再返还考生本人,请考生提前备份。
7.请考生及时关注鹤壁市人力资源和社会保障局网站发布的有关事业单位公开招聘工作相关信息。
咨询电话:
淇县 0392-7225932
山城区 0392-2559971
城乡一体化示范区 0392-3221236
宝山经济技术开发区 0392-2722876
附件1:2025年鹤壁市县区事业单位公开招聘联考面试资格确认人员名单.pdf
附件2:2025年鹤壁市县区事业单位公开招聘联考报名登记表.docx
2025年8月8日
实习编辑:夏云丨责编:刘颖
监制:冯红亮
收藏
点赞
举报